• Matematik 1 Deneme Ara Sınavları – Deneme 19

Matematik 1
Ara Sınav - Deneme 19
1.

Doğru Cevap: "C" 4
Soru Açıklaması

2.

log6216=?

Doğru Cevap: "A" 3
Soru Açıklaması

log6216=log663=3log66=3

3.
İKTİSAT kelimesindeki harflerin kümesi aşağıdakilerden hangisidir?
Doğru Cevap: "B" {T,A,K,S,İ }
Soru Açıklaması
4.
Richter ölçeğine göre 7,7 büyüklüğündeki bir depremin genliği, 5,7 büyüklüğündeki depremin genliğinden kaç kat büyüktür?
Doğru Cevap: "D" 100
Soru Açıklaması
Richter büyüklüğünün bir birim artmasında depremin genliği 10 kat artar. Dolayısıyla Richter büyüklüğünün 2 birim artması genliğin 10.10 kat yani 100 kat artması demektir.
5.

denkleminin çözüm kümesi aşağıdakilerden hangisidir?

Doğru Cevap: "C" {3}
Soru Açıklaması

5x=15

x=15/5

x=3

6.

Aşağıdakilerden hangisi 22•32 işleminin sonucudur?

Doğru Cevap: "A" 62
Soru Açıklaması

22•32=(2•3)2 = 62

7.

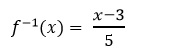
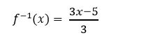
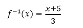
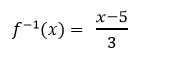
Doğru Cevap: "D"
Soru Açıklaması

Fonksiyonun tersini bulmak için x yanlız bırakılır. 

8.

Sağlıklı bir insan 20 Hz'den daha büyük frekanstaki sesleri duyabildiğine göre beş oktavlık bir piyanonun verebileceği en tiz sesin frekansı aşağıdakilerden hangisidir?

Doğru Cevap: "A" 640 Hz
Soru Açıklaması

20 Hz'den başlayarak ve her artış 1 oktav ise; 20 Hz, 40 Hz, 80 Hz, 160 Hz, 320 Hz ve 640 Hz olur.

9.

y=5x+1 ve y=-x-5 doğrularının kesim noktası aşağıdakilerden hangisidir?

Doğru Cevap: "A" (-1,4)
Soru Açıklaması

İki denklem birbirine eşitlenirse x=-1 ve bu değer de denklemlerden herhangi birinde yerine konulup çözülürse y=4 bulunur. Bu nedenle cevap (-1,4)'dir.

10.
log(x)+log(y)=1 ve log(x+xy-1)=0 ise x=?
Doğru Cevap: "B" -8
Soru Açıklaması
İlk eşitlik log(xy)=1 olarak yazılabileceğinden xy=10 bulunur. Bu sonuç ikinci eşitlikte yenine yazılırsa log(x+10-1)=0 den x+9=1 ve x=-8 sonucuna ulaşılır.
11.
log5 = x ise log2 ifadesinin x cinsinden değeri ne olur?
Doğru Cevap: "D" 1-x
Soru Açıklaması
12.

Doğru Cevap: "E"
Soru Açıklaması

13.
Aşağıdaki doğrulardan hangisidoğrusuna paraleldir?
Doğru Cevap: "C"
Soru Açıklaması

doğrusu

biçiminde yazılırsa

katsayısı olan 2 verilen doğrunun eğimi olur. Buradan yukarıda verilen şıklardaki doğruların eğimleri hesaplandığında

doğrusunun da eğiminin 2 olduğu görülür. Bu iki doğrunun eğimi eşit olduğu için birbirine paraleldirler. Doğru cevap C’dir.

14.

sıralaması hangisidir?

Doğru Cevap: "C"
Soru Açıklaması

15.

Bir sınıfta İngilizce veya Almanca dillerinden sadece birini bilen 15 kişi, en az birini bilen 20 kişi, en çok birini bilen 18 kişi vardır. Buna göre sınıfta kaç kişi vardır?

Doğru Cevap: "D" 23
Soru Açıklaması

Tüm sınıfı E ile İngilizce bilenlerin kümesini İ ile ve Almanca bilenlerin kümesini de A ile gösterelim. Sadece bir dili bilen 15 kişi olduğundan

olur. En az birini bilenler 20 kişi olduğuna göre

olur. En çok birini bilen 18 kişi olduğuna göre

olur. O halde

elde edilir. Buradan sınıf mevcudu

olmalıdır. Doğru cevap D’dir.

16.

Doğru Cevap: "A"
Soru Açıklaması

17.

y=x-3 ve y= 2x+6 doğrularının kesişim noktası aşağıdakilerden hangisidir?

Doğru Cevap: "A" (-9,-12)
Soru Açıklaması

y=x-3 ve y= 2x+6 eşitliklerini ortak çözersek x-3=2x+6 buradan x=-9 olur. x=-9 için de y=-12 olacağından doğru cevap A şıkkıdır. 

18.

Doğru Cevap: "D" 1
Soru Açıklaması

19.

İfadesinin eşitini bulunuz.

Doğru Cevap: "C" 3
Soru Açıklaması

TEST BİTTİ.
CEVAPLARINIZI KONTROL EDİNİZ.
YORUMLAR

Recent Comments

Görüntülenecek bir yorum yok.

Archives

Categories