• Matematik 2 Deneme Ara Sınavları – Deneme 10

Matematik 2
Ara Sınav - Deneme 10
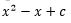
1.

diferansiyel denkleminin genel çözümü aşağıdakilerden hangisidir?

Doğru Cevap: "C"
Soru Açıklaması

eşitliğinde x’e göre her iki tarafın integrali alınırsa

bulunur.

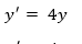
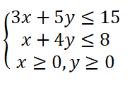
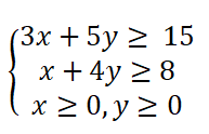
2.
Bir maksimizasyon probleminin tanım kümesi aşağıdaki grafikte taralı bölge olarak verildiğine göre bu problemin kısıtları aşağıdakilerden hangisidir?
Doğru Cevap: "C"
Soru Açıklaması

Grafikteki taralı bölge

eşitsizliklerini sağlayan tüm (x,y) noktalarının ara kesitidir. Bu durumda problemin kısıtları

olur.

3.
Diferansiyel denklemler ile ilgili aşağıdaki ifadelerden hangileri doğrudur? I. Bağımlı değişkenin, bağımsız değişkene göre türevlerini içeren bir denkleme diferansiyel denklem denir. II. Diferansiyel denklemi özdeş olarak sağlayan fonksiyona diferansiyel denklemin çözümü denir. III. Diferansiyel denklemin keyfi sabitlere bağlı çözümüne diferansiyel denklemin özel çözümü denir.
Doğru Cevap: "A" I ve II
Soru Açıklaması
Diferansiyel denklemin keyfi sabitlere bağlı çözümüne diferansiyel denklemin genel çözümü denir. Genel çözümdeki keyfi sabitlere değerler vererek elde edilen çözümlerin her biri birer özel çözümdür.
4.

x miktarı ve p fiyatı göstermek üzere bir malın talep fonksiyonu p=80-x2 şeklinde verilmiştir. Bu göre p0=16 fiyatındaki tüketici rantı aşağıdakilerden hangisidir?

Doğru Cevap: "D" 448
Soru Açıklaması

Talep fonksiyonunda p0=16 değerini yerine yazarsak talep miktarı, 16=80-x2 eşitliğinden  x2=64 olup x=8  veya x=-8  olarak bulunur. Talep miktarı negatif olamayacağından x0=8  olup, tüketici rantı,

sonucuna ulaşılır.

5.
Aşağıdaki noktalardan hangisi 2x-3y?14 eşitsizliğini sağlar?
Doğru Cevap: "E" (9, 2)
Soru Açıklaması
x= 9 y= 2 ise 2.9-3.2?14 18-6?14 12?14
6.

Doğru Cevap: "E" (0,2)
Soru Açıklaması

7.

Yukarıda grafiği verilen eşitsizlik aşağıdakilerden hangisidir?

 

Doğru Cevap: "E"
Soru Açıklaması

x+2y=12 doğrusu eksenleri (12,0) ve (0,6) noktasında keser. (0,0) noktası

eşitsizliğini sağlamadığından, yani

olduğundan (0,0) noktasının olmadığı bölge taranır. 

 

8.

Doğru Cevap: "D" 69/4
Soru Açıklaması

9.

x miktarı ve p fiyatı göstermek üzere talep fonksiyonu

ve arz fonksiyonu

şeklinde verilsin. Buna göre piyasa fiyatı düzeyindeki tüketici rantı aşağıdakilerden hangisidir?

 

Doğru Cevap: "C" 16/3
Soru Açıklaması

 Arz ve talebin eşit olduğu noktadaki fiyat piyasa fiyatıdır. Buna göre;

denklemi elde edilir. Bu denklem çözülürse x=2 ya da x=-5 olur. Miktar sıfırdan küçük olamayacağından x₀=2 olarak alınır. Bu değeri talep fonksiyonunda yerine yazarsak p₁=6-4=2 elde edilir. Buradan tüketici rantı

olarak elde edilir.

10.

Doğru Cevap: ""
Soru Açıklaması

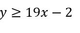
11.

Babasının yaşı oğlunun yaşının 19 katının 2 eksiğinden büyüktür. Babasının yaşı y oğlunun yaşı x olduğuna göre aşağıdaki ifadelerden hangisi doğrudur?

Doğru Cevap: "E"
Soru Açıklaması

Babasının yaşı oğlunun yaşının 19 katının 2 eksiğinden büyüktür. Babasının yaşı y oğlunun yaşı x olduğuna göre doğru cevap E şıkkıdır.

12.

Aşağıda y=f(x) fonksiyonun grafiği verilmiştir. Buna göre

 

integralinin sonucu aşağıdakilerden hangisidir?

Doğru Cevap: "A" 5
Soru Açıklaması

x-ekseninde [-4, 0] aralığı ile y=f(x) fonksiyonunun grafiği arasında kalan A1 , x-ekseninde [0, 1] aralığı y=f(x) fonksiyonunun grafiği arasında kalan A2 ve x-ekseninde [1, 3] aralığı y=f(x) fonksiyonunun grafiği arasında kalan A3 olmak üzere

=4.2+1-4=5 br2 olur.

13.

Aşağıdaki noktalardan hangisi

eşitsizliklerinin hepsini birden sağlar?

Doğru Cevap: "E" (3,1)
Soru Açıklaması

(-2,2) ve (8,-1) noktalarının koordinatlarından biri negatif olduğundan son eşitsizlik sağlanmaz. Her iki koordinatı da pozitif olan diğer noktalar arasında (3,1) noktası tüm eşitsizlikleri sağlar. 

14.

diferansiyel denkleminin y(0)=1 koşuluna uyan çözümü aşağıdakilerden hangisidir?

 

Doğru Cevap: "D"
Soru Açıklaması

ve buradan

bulunur. y(0)=1 koşulundan c=1 ve böylece diferansiyel denklemin y(0)=1 koşuluna uyan çözümü 

bulunur.

15.

Doğru Cevap: "A"
Soru Açıklaması

16.

x miktarı ve p fiyatı göstermek üzere bir malın arz fonksiyonu

şeklinde verilmiştir. Buna

göre p0=46 fiyatındaki üretici rantı aşağıdakilerden hangisidir?

 

Doğru Cevap: "A" 48
Soru Açıklaması

Arz fonksiyonunda piyasa fiyatı olan 46’yı yerine yazalım:

olur. Buradan da x=4 elde edilir. Bu değeri x°=4 şeklinde göstererek 

formülünü kullanarak

olarak bulunur.

17.

x miktarı ve p fiyatı göstermek üzere bir malın arz fonksiyonu  

şeklinde verilmiştir. Buna göre  

fiyatındaki üretici rantı kaçtır?

Doğru Cevap: "A" 16/3
Soru Açıklaması

değeri arz fonksiyonunda yerine yazılırsa

eşitliğinden 

bulnur. Buradan x=2 veya x=-2 elde edilir. Arz miktarı negatif olmayacağına göre x=2 çözüm olur. Bu değer x0=2 şeklinde gösterilirse buradan üretici rantı

bulunur.

18.

x miktarı ve p fiyatı göstermek üzere bir malın arz fonksiyonu p=3x2+3 şeklinde veriliyor. Piyasa fiyatı 6 olduğuna göre üretici rantı aşağıdakilerden hangisidir?

Doğru Cevap: "A" 2
Soru Açıklaması

Piyasa fiyatı 6 yı arz fonksiyonunda yerine yazarsak, 6=3x2+3 eşitliğinden x=1 (pozitif kök) bulunur. O halde üretici rantı,

olarak bulunur.

TEST BİTTİ.
CEVAPLARINIZI KONTROL EDİNİZ.
YORUMLAR

Recent Comments

Görüntülenecek bir yorum yok.

Archives

Categories