• Matematik 2 Deneme Ara Sınavları – Deneme 11

Matematik 2
Ara Sınav - Deneme 11
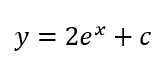
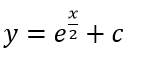
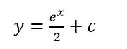
1.

diferansiyel denkleminin genel çözümü aşağıdakilerden hangisidir?

Doğru Cevap: "B"
Soru Açıklaması

olduğundan 

bulunur.

2.

Aşağıdakilerden hangisi doğrudur?

Doğru Cevap: "D"
Soru Açıklaması

3.

doğrusu ile sınırlı bölgenin alanı kaç br²’dir?

Doğru Cevap: "A" 1/6
Soru Açıklaması

Alanı hesaplamak için önce bölgenin sınırlarını belirlemek gereklidir.

olarak elde edilir.

4.

Doğru Cevap: "D"
Soru Açıklaması

5.
3y-2x-6?0, x?0, y?0 eşitsizliklerinin tümünü sağlayan nokta aşağıdakilerden hangisidir?
Doğru Cevap: "E" (1, 1)
Soru Açıklaması
x=1 y= 1 ; 1?0 ve 3. 1-2. (1)-6?0
6.

Doğru Cevap: "D"
Soru Açıklaması

7.

Aşağıdaki noktalardan hangisi

eşitsizliklerinin hepsini birden sağlar?

Doğru Cevap: "E" (10,-1)
Soru Açıklaması

(10,-1) noktası tüm eşitsizlikleri sağlar: x+10y=10+10(-1)=0<13, 10>0 ve -1<0.

8.
x miktarı ve p fiyatı göstermek üzere, bir malın talep fonksiyonu p1 =(x-3)^2 , arz fonksiyonu p2 =(x+1)^2 ise tüketici rantı nedir?
Doğru Cevap: "D" 2,33
Soru Açıklaması
9.

integralinin sonucu aşağıdakilerden hangisidir?

Doğru Cevap: "E"
Soru Açıklaması

x>0 iken

olur.

10.
Doğru Cevap: "C" 10
Soru Açıklaması

11.

diferansiyel denkleminin y(0)=1 koşulunu sağlayan çözümü aşağıdakilerden hangisidir?

 

Doğru Cevap: "C"
Soru Açıklaması

ise 

olur. Her iki tarafın integrali alınırsa,

elde edilir. Buradan y(0)=1  koşulu uygulanırsa  elde edilir. O halde çözüm,

olup, y(0)=1 koşulunu sağlayan çözüm

olur.

12.
Aşağıdaki noktalardan hangisi 2x+4y?8 eşitsizliğini sağlar
Doğru Cevap: "D" (1,1)
Soru Açıklaması
13.

Doğru Cevap: "E"
Soru Açıklaması

14.
f(x, y)=5x+10y amaç fonksiyonunun 2x+y?4, 3x+4y?12, x?0, y?0 eşitsizlikleriyle verilen küme üzerindeki maksimum değeri veren nokta aşağıdakilerden hangisidir?
Doğru Cevap: "C" (0,3)
Soru Açıklaması
2x+y?4, 3x+4y?12, x?0, y?0 eşitsizliklerinin oluşturduğu cokgensel bölgenin köşegeleri (0,0), (0,3), (2,0), (4/5, 12/5 ) noktalarıdır. Fonksiyonda yerine konursa f (0,0)= 0, f(2,0)=10, f(0,3)=30, f(4/5,12/5 )=29
15.

Sonsuz seçenekli bir durumda sonlu tane nokta kontrol edilerek bizi çözüme ulaştıran metod aşağıdakilerden hangisidir?

Doğru Cevap: "A" Doğrusal programlama
Soru Açıklaması

Doğrusal programlama yardımıyla yaptığımız modelleme bize sonsuz seçenekli bir durumda sonlu tane noktanın kontrol edilmesiyle çözüme nasıl ulaştığımızı da göstermiş olur.

16.

Bir firma şarjlı ve şarjsız iki tür pil üretiyor. Firma pilleri üretirken A ve B makinelerini kullanıyor. Şarjsız pil üretirken bir günde A’nın 10 saat, B’nin 5 saat çalışması gerekiyor. Şarjlı pil üretirken ise bir günde A’nın 8 saat, B’nin 5 saat çalışması gerekiyor. A ve B’nin aylık çalışma saatleri en fazla 180 ve 150 dir. Firma üretilen 1 adet şarjsız pilden 5 TL, şarjlı pilden 5 TL kar elde ediyor. Firmanın günlük karını en büyük yapmak için her bir pilden kaç tane üretilmelidir?

Doğru Cevap: "A" 31
Soru Açıklaması

 

Çalışma saatleri

A

B

Birim Kar (TL)

Şarjsız pil için günlük süre (sa)

10

5

5

Şarjlı pil için günlük süre (sa)

8

5

3

Aylık

180

150

 

x: Bir günde üretilen şarjsız pil (adet)

y: Bir günde üretilen şarjlı pil (adet)

Olmak üzere Amaç fonksiyonu f(x,y)=5x+2y ve kısıtlar şeklindedir. Tanım kümesinin köşe noktaları: (0,0), (6,0), (5,2) ve (0,10) olur. Amaç fonksiyonunun bu köşe noktalarındaki değeri hesaplanırsa en büyük değerini (5,2) noktasında aldığı görülür. Buna göre 31 tane üretilmelidir.

17.

f(x)=x3 fonksiyonunun [-1,1] aralığı üzerindeki ortalama değeri aşağıdakilerden hangisidir?

Doğru Cevap: "C" 0
Soru Açıklaması

[a,b] aralığında sürekli bir f fonksiyonunun ortalama değeri

olarak hesaplanır. Buna göre f(x)=x3  fonksiyonunun [-1,1] aralığı üzerindeki ortalama değeri

olur.

18.

x miktarı ve p fiyatı göstermek üzere bir malın arz fonksiyonu p=x+6 biçiminde verilmiştir. Piyasa fiyatı 8 olduğuna göre üretici rantı aşağıdakilerden hangisidir?

Doğru Cevap: "E" 9
Soru Açıklaması

19.

Doğru Cevap: "C" (2,3)
Soru Açıklaması

TEST BİTTİ.
CEVAPLARINIZI KONTROL EDİNİZ.
YORUMLAR

Recent Comments

Görüntülenecek bir yorum yok.

Archives

Categories