Aşağıdaki tabloda 2015 yılına ait Türkiye İstatistik Kurumu (TÜİK) tarafından yayımlan Türkiye’deki gelir dağılımı verilmiştir. Buna göre ilk yüzde kırkın toplam gelirden aldığı pay yüzde kaçtır?
Yukarıdaki tabloya bakıldığında ilk yüzde 20’nin toplam gelirden aldığı pay yüzde 6,1’dir. Buna göre L(0,2)=0,061 olur. Tabloya göre ilk yüzde 40’ın toplam gelirden aldığı pay ise 6,1+10,7=16,8’dir. Buna göre L(0,4)=0,168 olur.
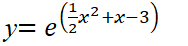
integralinin sonucu aşağıdakilerden hangisidir?
x+3=u denilirse dx=du olur. Bu durumda
olur.
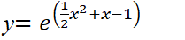
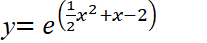
diferansiyel denkleminin y(2)=e koşulunu sağlayan çözümü aşağıdakilerden hangisidir?
Denklemi dy/dx=y(x+1) olarak yazarak
dy/y=(x+1)dx biçimine getirelim ve her iki tarafın integralini alalım. Böylece
elde ederiz. Bu ifadeyi düzenleyerek
Burada
dersek
y(2)=e olduğundan
olmalıdır.
f(x,y)=2x+y amaç fonksiyonunun,
eşitsizliği ile verilen küme üzerindeki maksimum değeri nedir?
3x+y=6 ve x+y=2 denklem sistemi çözüldüğünde 3x+y=6 ve x+y=2 doğrularının (2,0) noktasında kesiştikleri görülür. Çokgen bölgenin köşe noktaları: (0,0), (2,0) ve (0,2) dir. Amaç fonksiyonunun bu noktalardaki değerleri: f(0,0)=0, f(0,2)=2 ve f(2,0)=4 olur. Bu fonksiyon değerlerinin en büyüğü 4 olduğuna göre amaç fonksiyonunun bu çokgen bölge (aslında üçgen bölge) üzerindeki maksimum değeri 4 olur.
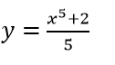
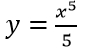
diferansiyel denkleminin x=1 için y=1 başlangıç değerine sahip çözümü aşağıdakilerden hangisidir?
bulunur. x=1 için y=1 başlangıç değer koşulundan
1=1/5+c denklemine ulaşılır ve buradan c=4/5 bulunur. Diferansiyel denklemin x=1 için y=1 başlangıç değerine sahip çözümü
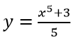
diferansiyel denkleminin y(1)=0 koşuluna uyan çözümü aşağıdakilerden hangisidir?
olup y(1)=0 koşulunu kullanırsak 0=1+c eşitliğine ulaşılır. Buradan c=-1 olup, çözüm
olarak elde edilir.
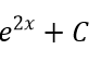
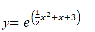
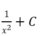
integralinin sonucu aşağıdakilerden hangisidir?
x+3=u diyelim. Buradan du=dx olur.
elde edilir.
Aşağıdaki noktalardan hangisi x -2y ? 5 x ? 0, y ? 0 eşitsizliklerinin hepsini birden saglar?
(2,3) noktasını eşitsizliklerde yerine yazarsak üç eşitsizliğide sağladığı görülür.
x miktarı ve p fiyatı göstermek üzere bir malın talep fonksiyonu
şeklinde verilsin. Buna göre p0=3 fiyatındaki tüketici rantı aşağıdakilerden hangisidir?
eşitliğinden x=3 olarak bulunur. Bu değeri x0=3 şeklinde göstererek tüketici rantı
olarak elde edilir.
Aşağıdaki noktalardan hangisi 2x + y ? 4 x ? 0, y ? 0 eşitsizliklerinin hepsini birden saglar?
(1,1) noktası 3 eşitsizliği birden sağladığı yerine yezınca kolaylıkla görülür.
integralinin sonucu aşağıdakilerden hangisidir?
integralinin sonucu aşağıdakilerden hangisidir?
x>0 iken
olur.