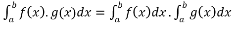
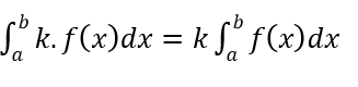
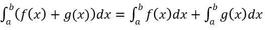
f ve g, [a,b] aralığında sürekli fonksiyonlar, k bir reel sayı ve a
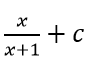
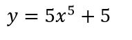
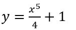
İntegrant iki fonksiyonun çarpımı biçimindeyse bunların integrali çarpıma giren fonksiyonların integrallerinin çarpımına eşit olmak zorunda değildir. Örneğin
olur.
y=f(x) fonksiyonun grafiği aşağıda verilmiştir. Grafiğe göre
integralinin sonucu aşağıdakilerden hangisidir?
İntegralin Temel Teoremi kullanılırsa
olur.
Eşitsizlikler grafikte gösterilirse ortak çözüm bölgesi kırmızı renk ile çevrelelen I bölgedir.
Üstten y=x3-1 eğrisi alttan x-ekseni ve yanlardan x=1 ve x=3 doğrularıyla sınırlı bölgenin alanı kaç br2 ’dir?
Alanı istenilen bölgeyi A ile gösterelim.
Aşağıdaki tabloda 2014 yılına ait Türkiye İstatistik Kurumu (TÜİK) tarafından yayımlan Türkiye’deki gelir dağılımı verilmiştir. Bu verilere göre Lorenz eğrisinin grafiği yaklaşık olarak aşağıdakilerden hangisidir?
Tabloda verilenlere göre Lorenz eğrisinin geçtiği altı noktanın görüntüsü
şeklindedir. Bu noktaları aşağıdaki şekilde bir eğriyle birleştirerek Lorenz eğrisi bulunur.
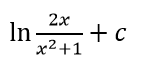
f(x)=1/x fonksiyonunun [e, e2] aralığı üzerindeki ortalama değeri aşağıdakilerden hangisidir?
[a,b] aralığında sürekli bir f fonksiyonunun ortalama değeri
olarak hesaplanır. Buna göre f(x)=1/x fonksiyonunun [e,e²] aralığı üzerindeki ortalama değeri
olur.
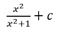
f(x)=x2-2x+1 fonksiyonu ile g(x)=1-x fonksiyonlarının [0,1] aralığı üzerindeki grafik parçaları arasında kalan alan aşağıdakilerden hangisidir?
1/6
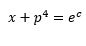
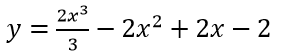
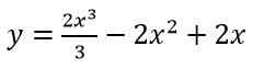
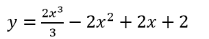
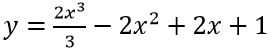
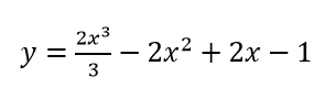
diferansiyel denkleminin y(0)=2 koşuluna uyan çözümü aşağıdakilerden hangisidir?
ve buradan
y(0)=1 koşulundan c=1 ve böylece diferansiyel denklemin y(0)=1 koşuluna uyan çözümü
olarak bulunur.
f(x)=2x-1 ve g(x)=2x2+4 fonksiyonlarının [0,2] aralığı üzerindeki grafik parçalarının arasındaki bölgenin alanı aşağıdakilerden hangisidir?
[0,2] aralığındaki tüm x’ler için
olduğundan bu eğrilerle sınırlı alan,
olur.
eşitsizliğinin çözüm kümesi aşağıdakilerden hangisidir?
3x+2y=6 doğrusunun eksenleri kestiği noktalar: x=0 için y=3 yani (0,3) noktası ve y=0 için x=2 yani (2,0)
noktası elde edilir. (0,0) noktası için 3.0+2.0=0<6, yani verilen eşitsizlik sağlanır. (0,0) noktasının bulunduğu taraftaki tüm noktalar eşitsizliği sağlar.
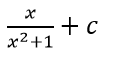
f, [2,5] aralığında sürekli bir fonksiyon ve F, f fonksiyonunun bir ilkeli ise aşağıdakilerden hangisi yanlıştır?
f, [a,b] aralığında sürekli bir fonksiyon,
olmak üzere integral kuralları gereği
olur. İntegralin temel teoremi gereği
değişken değiştirmesi yapılarak du=2xdx bulunur. Böylece