eşitsizliğini sağlayan noktaların grafiği aşağıdakilerden hangisidir?
3x+y=9 doğrusu eksenleri (3,0), (0,9) noktalarında x+2y=8 doğrusu ise eksenleri (8,0), (0,4) noktalarında keser. (0,0) noktası
eşitsizliklerini sağlamadığından tüm eşitsizlikleri sağlayan noktalar kümesinin grafiği aşağıdaki taralı bölgedir.
a1, b1, c1, . . . , ak, bk, ck sayıları pozitif olmak üzere,
eşitsizliklerini sağlayan bölgeye verilen ad aşağıdakilerden hangisidir?
a1, b1, c1, . . . , ak, bk, ck pozitif sabit sayılar olmak üzere
eşitsizliklerini sağlayan tüm (x, y) noktalarının kümesine düzlemde bir çokgen veya çokgen bölge denir.
integralinin sonucu aşağıdakilerden hangisidir?
ve
olduğundan
olur.
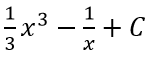
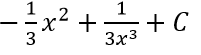
integralinin değeri aşağıdakilerden hangisidir?
u=x-1 değişken değiştirmesi yapılırsa, du=dx olur. Bu değişken yerine yazıldığında integral,
elde edilir. Bu integralde u=x-1 ve c=0 yazılırsa,
elde edilir.
y=f(x) fonksiyonun grafiği aşağıda verilmiştir. Grafiğe göre
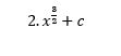
integralinin sonucu aşağıdakilerden hangisidir?
İntegralin Temel Teoremi kullanılırsa
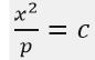
x miktarı ve p fiyatı göstermek üzere bir malın arz fonksiyonu p = x 2 + 2 şeklinde verilmiştir. Buna göre p0 =6 fiyatındaki üretici rantı kaçtır?
p0 = 6 değerini arz fonksiyonunda yerine yazarsak x^ 2 + 2 = 6 eşitliğinden 4 = x ^2 bulunur. Buradan x = 2 veya x = -2 bulunur. Arz miktarı negatif olamayacağına göre x = 2 çözüm olur. Bu değeri de x0 = 2 şeklinde gösterirsek buradan üretici rantı,
diferansiyel denkleminin x=3 için y=1 koşuluna sahip çözümü aşağıdakilerden hangisidir?
olup düzenlenirse
ifadesine ulaşılır. Her iki tarafın integrali alınırsa
eşitliğinden
elde edilir. x=3 için y=1 koşulu uygulanırsa
eşitliğinden c=4 elde edilir. O halde
olur.
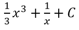
integralinin sonucu aşağıdakilerden hangisidir?
Bir malın talep esnekliği 4 olarak verildiğine göre bu malın miktarı ve fiyatı arasındaki ilişkiyi veren talep denklemi aşağıdakilerden hangisidir
Aşağıdaki grafiklerden hangisi
eşitsizliklerini sağlayan noktaların grafiğidir?
2x+y=6: eksenleri (0,6), (3,0)
x+y=2: eksenleri (0,2), (2,0) noktalarında keserler. (0,0) noktası için 2.0+0=0<6 ve 0+0=0<2 olduğundan (0,0) noktası 1. eşitsizliği sağlarken 2. eşitsizliği sağlamaz. O halde aranan bölge aşağıdaki şekildeki gibidir:
.
2x+y=2 doğrusu eksenleri (1,0) ve (0,2) noktasında keser. (0,0) noktası
eşitsizliğini sağladığından yani
olduğundan, (0,0) noktasının olduğu bölge taranır.
Bir malın talep fiyat esnekliği 3 olarak verildiğine göre bu malın miktarı ve fiyatı arasındaki ilişkiyi veren talep denklemi aşağıdakilerden hangisidir?
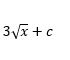
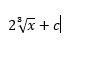
fonksiyonunun [0, 1] aralığı üzerindeki ortalama değeri aşağıdakilerden hangisidir?
olduğu biliniyor. Bu durumda
değerini hesaplamak için u=1-x diyelim. Bu durumda du=-dx olur.
u=1-x olduğundan ve c=0 alınırsa
olur.