• Matematik 2 Deneme Ara Sınavları – Deneme 4

Matematik 2
Ara Sınav - Deneme 4
1.

Doğru Cevap: "C"
Soru Açıklaması

(0,0) noktası verilen ilk iki eşitsizliğin her ikisini de sağlamadığından aranan bölge C şıkkında verilen şekildeki gibidir.

2.

Aşağıdaki noktalardan hangisi x -y ? 3 ve x + y ? 2  eşitsizliklerinin ikisini birden sağlar?

Doğru Cevap: "E" (2,1)
Soru Açıklaması

(2,1) noktası her iki eşitsizliğide sağlar.

3.

Doğru Cevap: "D"
Soru Açıklaması

4.

Alttan y=x2  parabolü, üstten y=x doğrusu ile sınırlı bölgenin alanı kaç br²’dir?

Doğru Cevap: "A" 1/6
Soru Açıklaması

Alanı hesaplamak için önce bölgenin sınırlarını belirlemek gereklidir. y=x2 parabolü ile y=x doğrusunun kesiştiği noktalar x=0 ve x=1’dir. Bölge y=x2 parabolü ile alttan ve y=x doğrusu ile üstten sınırlı olduğu için alanı veren integral,

olur.

5.

integralinin değeri aşağıdakilerden hangisidir?

Doğru Cevap: "D" 1/4
Soru Açıklaması

olur.

6.
Doğru Cevap: "A"  kitap dışı bir konu soru iptal edilmeli ancak matematiksel ifadeleri yazamadım
Soru Açıklaması

7.

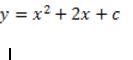
diferansiyel denkleminin için  başlangıç değerine sahip çözümü aşağıdakilerden hangisidir?

 

Doğru Cevap: "E"
Soru Açıklaması

denkleminden

bulunur. x=1 için y=1 başlangıç değer koşulundan 1=1/5 +c denklemine ulaşılır ve buradan c=4/5 bulunur. Diferansiyel denkleminin x=1 için y=1 başlangıç değerine sahip çözümü 

bulunur.

 

 

8.

Doğru Cevap: "C" 10
Soru Açıklaması

9.

Doğru Cevap: "D"
Soru Açıklaması

10.

Aşağıdaki mal gruplarından hangisi bağımsız (ilişkisiz) mallara örnek olabilir?

Doğru Cevap: "C" Masa - Sandalye
Soru Açıklaması

Bağımsız (ilişkisiz) mallar: Çapraz esneklik analizine göre tamamlayıcılık ve ikame durumunu içermeyen mallardır.

11.

f(x,y)=4x+4y amaç fonksiyonunun, 

eşitsizliği ile verilen küme üzerindeki maksimum değeri nedir?

 

Doğru Cevap: "D" 18
Soru Açıklaması

5x+3y=15 ve 3x+y=6 denklem sistemi çözüldüğünde 5x+3y=15 ve 3x+y=6 doğrularının (3/4,15/4) noktasında kesiştikleri görülür. Çokgen bölgenin köşe noktaları: (0,0), (2,0), (0,5) ve (3/4,15/4) dir. Amaç fonksiyonunun bu noktalardaki değerleri:  f(0,0)=0, f(2,0)=8, f(0,5)=20 ve f(3/4,15/4)=18  olur. Bu fonksiyon değerlerinin en büyüğü 18 olduğuna göre amaç fonksiyonunun bu çokgen bölge üzerindeki maksimum değeri 18 olur. 

12.
3x+2y=24 doğrusunun eksenleri kestiği noktalar aşağıdakilerden hangisidir?
Doğru Cevap: "B" (8, 0) ve (0, 12)
Soru Açıklaması
x= 0 ise 3.0+4y=24 y=6 ( 0, 6) y=0 ise 3x+ 4.0 =24 x=8 (8, 0)
13.

Doğru Cevap: "C"
Soru Açıklaması

14.

Bir malın talep fonksiyonu y=210-10x  arz fonksiyonu da  y=30x-70 olarak verilmiştir. Buna göre piyasa arzı 40 birim artarsa denge fiyatı ne kadar olur?

Doğru Cevap: "B" 6
Soru Açıklaması

Arz ve talebin eşit olduğu noktadaki fiyat piyasa fiyatı olduğuna göre

210-10x=30x-70

40x=280

x=7

olması durumunda denge sağlanmaktadır. Ancak piyasa arzı 40 birim artarsa denge fiyatını bulmak için arz fonksiyonuna 40 ekleyip yeni denge noktasını bulmamız gerekecektir.

210-10x=30x-70+40

40x=240

x=6

Yeni denge fiyatımızı 6 olacaktır.

 

15.
eşitsizliklerinin çözüm kümesinde olan nokta aşağıdakilerden hangisidir?
Doğru Cevap: "A" (1,4)
Soru Açıklaması

(1,4) noktası 5.1-4=1<5, 1-4=-3<0 ve 1>0 ve 4>0 olduğundan eşitsizliklerin hepsini sağlar.

16.

integralinin sonucu aşağıdakilerden hangisidir?

Doğru Cevap: "C" 34/3
Soru Açıklaması

17.

K, nüfus değişim oranı ve y0, başlangıç değeri olmak üzere zamana göre nüfus değişimini veren diferansiyel denklem ve çözümü hangisidir?

Doğru Cevap: "E"
Soru Açıklaması

Zamana göre nüfus değişimini veren diferansiyel denklem

denklemidir ve başlangıç değeri y0 olan bu diferansiyel denklemin çözümü

 

 

18.

Doğru Cevap: "A"
Soru Açıklaması

19.
Belirli bir zaman aralığında piyasada üreticilerin, değişik fiyat düzeyinde satmaya istekli oldukları mal veya hizmet miktarına ne denir?
Doğru Cevap: "B" Arz
Soru Açıklaması
Belirli bir zaman aralığında piyasada üreticilerin, değişik fiyat düzeyinde satmaya istekli oldukları mal veya hizmet miktarına arz denir.
TEST BİTTİ.
CEVAPLARINIZI KONTROL EDİNİZ.
YORUMLAR

Recent Comments

Görüntülenecek bir yorum yok.

Archives

Categories