Aşağıdakilerden hangisi maksimizasyon problemi kısıtlarından değildir?
a1, b1, c1, . . . , ak, bk, ck sayıları pozitif olmak üzere,
doğrusal eşitsizliklerine maksimizasyon probleminin kısıtları denir.Bu kalıplara uymayan
eşitsizliğidir.
Bir ülkenin istatistik kurumunun yayımladığı yüzde 20’lik fert gruplarına göre geri dağılımı verilerinden elde edilen Lorenz fonksiyonu
şeklinde belirlenmiştir. Buna göre bu ülkenin Gini indeksi aşağıdakilerden hangisidir?
Çözüm: Bu ülkenin Gini indeksi
0,66 olur.
üstten y=6 ve yanlardan x=2 ve x=-2 ile sınırlı bölgenin alanı kaç br2 ' dir?
Sorulan bölgenin alanı aşağıda belirtilmiştir.
Buna göre
olur.
Arz eğrisinin kaymasına neden olan faktörlere bir örnek veriniz?
Arz eğrisinin kaymasına neden olan faktörlerden biri talebin artmasıdır.
f(x,y)=3x+7y amaç fonksiyonu aşağıda verilen çokgen bölge üzerindeki hangi noktada en büyük değerini alır?
f(x,y)=ax+by doğrusal fonksiyonu çokgen bölge üzerinde en büyük değerini çokgenin bir köşe noktasında alır. Bu durumda çokgen bölgenin köşe noktalarının fonksiyonu altındaki değerleri sırasıyla
f(15,2)=3.15+7.2=59
f(19,13)=3.19+7.13=148
f(10,20)=3.10+7.20=170
f(1,13)=3.1+7.13=94
f(5,2)=3.5+7.2=29
sayılarıdır. O halde f(x,y) fonksiyonu en büyük değerini (10,20) noktasında alır.
f, [2,5] aralığında sürekli bir fonksiyon ve F, f fonksiyonunun bir ilkeli ise aşağıdakilerden hangisi yanlıştır?
f, [a,b] aralığında sürekli bir fonksiyon
olmak üzere integral kuralları gereği
olur. İntegralin temel teoremi gereği
ve
olduğundan
integralinin sonucu aşağıdakilerden hangisidir?
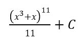
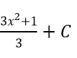
İntegralde
değişken değiştirmesi yapılırsa,
olarak bulunur. İntegralde yerine yazarsak,
şeklinde ifade edilir.
eşitsizliğinin çözüm kümesi aşağıdakilerden hangisidir?
3x+2y=18 doğrusunun eksenleri kestiği noktalar (6,0) ve (0,9) noktalarıdır. 3.0+2.0=0<18 olduğundan (0,0) noktası
eşitsizliğini sağlar. Bu durumda (0,0) noktasının bulunduğu taraftaki tüm noktalar eşitsizliğin çözüm kümesidir. O halde
eşitsizliğinin çözüm kümesi
olur.
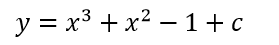
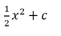
integralinin sonucu aşağıdakilerden hangisidir?
olur.
Aşağıdakilerden noktalardan hangisi x + 2y ? 5 eşitsizliğini sağlar?
(1,1) için x+2y=1+2.1=3 olup doğru şık D dir.
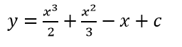
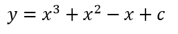
diferansiyel denkleminin genel çözümü aşağıdakilerden hangisidir?
ve buradan
bulunur.
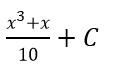
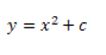
integralinin sonucu aşağıdakilerden hangisidir?
olduğundan