• Matematik 2 Deneme Final Sınavları – Deneme 11

Matematik 2
Deneme Final Sınavları - Deneme 11
1.

Aşağıdaki matris oyununda oyunun yukarı değeri seçeneklerden hangisidir?

Doğru Cevap: "C" 2
Soru Açıklaması

Sütunlardaki en büyük değerler sırasıyla 2 ve 7’dir. Bu değerleri seçtiğinde oyuncunun garantilemiş olduğu getiri en büyük olur. Oyuncu minimizasyon yaptığı için 1. sütunu seçip, yukarı değer olan 2 sayısını belirlemiş olur. Doğru yanıt C şıkkıdır.

2.
Doğrusal şifreleme fonksiyonu ş(x)=7x+5 (mod 13) ile x=4 sayısının şifrelenmişi aşağıdakilerden hangisidir?
Doğru Cevap: "A" 7
Soru Açıklaması
ş(4)=7 x 4+5 (mod 13) = 7.
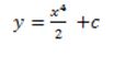
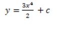
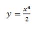
3.

integralinin değeri aşağıdakilerden hangisidir?

Doğru Cevap: "D"
Soru Açıklaması

olur.

4.

Doğrusal şifreleme fonksiyonu

veriliyor.

değerinin şifrelenmiş hali hangisidir?

Doğru Cevap: "A" 0
Soru Açıklaması

Doğru cevap A’dır.

5.

EBOB(76,114)=?

Doğru Cevap: "A" 38
Soru Açıklaması

76=22x19 olduğundan ve 114=2x3x19 olduğundan EBOB(76,114)=2x19=38 elde edilir.

6.
Bir düzlemsel çizgede bölge sayısı 4, kenar sayısı 7 ise köşe sayısı aşağıdakilerden hangisidir?
Doğru Cevap: "C" 5
Soru Açıklaması
Bölge sayısı+ köşe sayısı= kenar sayısı +2 4+köşe sayısı=7+2 5= köşe sayısı
7.

Verilen çizgenin köşe noktaları komşu noktalar farklı renklerde olarak şekilde kaç renk ile boyanabilir?

Doğru Cevap: "A" 6
Soru Açıklaması

Bir çizgenin tüm köşe noktalarının derecesi en fazla d ise bu çizgenin köşe noktaları, komşu noktalar farklı renklerde olacak şekilde d+1 renk ile boyanır. Verilen çizgenin e köşe nokta derecesi 5 olduğunda 5+1 = 6 tane farklı renk olur.

8.
4 köşe noktası olan farklı ağaçların sayısı aşağıdakilerden hangisidir?
Doğru Cevap: "B" 16
Soru Açıklaması
n üssü (n-2) formulü ile 16 dır.
9.

Doğru Cevap: "A"
Soru Açıklaması

. Bu iki eğrinin arakesit noktası (1,1) dir.  Bölgenin x ekseni üzerine izdüşümü alınırsa [0,1]  kapalı aralığı elde edilir. O halde integralin sınırları 0 dan 1 e olur. Bölgeyi sınırlayan üstteki eğriden alttaki eğriyi çıkardığımızda integrali alınacak fonksiyonu belirlemiş oluruz

10.

Aşağıda matrisi verilen oyunun aşağı değeri ile yukarı değerinin toplamı kaçtır?

Doğru Cevap: "A" 0
Soru Açıklaması

Önce aşağı değeri bulalım: I. oyuncu birinci satırı seçtiğinde  {1,0,3,-2} sayılarının en küçüğü olan -2, ikinci satırı seçtiğinde {-1,2,4,-1} sayılarının en küçüğü olan -1, üçüncü satırı seçtiğinde ise {-2,-3,1,2} sayılarının en küçüğü olan -3 getirilerini garanti eder.  I. oyuncu maksimizasyon yaptığı için bu getirilerin en büyüğü olan -1’i elde edeceği 2. satırı seçer. Dolayısıyla oyunun aşağı değeri -1 dir.

Benzer şekilde oyunun yukarı değerini bulalım: II. oyuncu birinci sütunu seçtiğinde {1,-1,-2} sayılarının en büyüğü olan 1, ikinci sütunu seçtiğinde {0,2,-3} sayılarının en büyüğü olan 2, üçüncü sütunu seçtiğinde {3,4,1} sayılarının en büyüğü olan 4 ve dördüncü sütunu seçtiğinde {-2,-1,2} sayılarının en büyüğü olan 2  kayıplarını garanti eder. II. oyuncu minimizasyon yaptığı için bu kayıpların en küçüğü olan 1’in bulunduğu birinci sütunu seçer. Birinci sütunu seçtiğinde garantilenmiş olan kayıp 1’dir. Dolayısıyla yukarı değer 1’dir. O halde oyunun aşağı ve yukarı değerlerinin toplamı -1+1=0 olur.

11.

Aşağıdakilerden hangisi Euler formülünü verir?

Doğru Cevap: "B" yüzlerin sayısı+köşelerin sayısı=ayrıtların sayısı+2
Soru Açıklaması

Eüler formülünü veren ifade 

yüzlerin sayısı+köşelerin sayısı=ayrıtların sayısı+2    dir.

12.
Belirli bir zaman aralığında piyasada üreticilerin değişik fiyat düzeyinde satmaya istekli oldukları mal veya hizmet miktarına ne ad verilir?
Doğru Cevap: "A" Arz
Soru Açıklaması
13.

Doğru Cevap: "A"
Soru Açıklaması

14.
Aşağıdakilerden hangisi matematiksel probleme neden oyun denilmesinin sebeplerinden değildir?
Doğru Cevap: "E" Karma stratejiler kullanılırken oyunların tekrarlanmaması varsayılmaktadır.
Soru Açıklaması
Oyunlarda olduğu gibi matematikte de 1) Belli bir kural söz konusudur. 2) Her bir oyuncunun kazancı bir tek kendi seçtiği stratejiye bağlı olmayıp, diğer oyuncuların seçtikleri stratejilere de bağlıdır. 3) Her bir oyuncu strateji seçerken diğer oyuncuların strateji kümelerini, kazanç fonksiyonlarını biliyor ancak hangi stratejiyi seçeceğini bilmemektedir. Bu özellikler, her bir taraf için en iyi strateji seçme problemine bu taraflar arasında bir oyun karakteri vermektedir. Oyuncuların tek hamle yaptıklarını tekrar vurgulayalım. Karma stratejiler kullanılırken oyunların tekrarlanması varsayılmaktadır.
15.

Bir düzlemsel çizgede bölge sayısı kenar sayısı, köşe sayısı ve kenar sayıları birbirine eşit ise kenar sayısı kaçtır?

Doğru Cevap: "B" 2
Soru Açıklaması

Bölge sayısı+ köşe sayısı= kenar sayısı+2

Bölge sayısı=köşe sayısı= kenar sayısı=x olup

x+x=x+2 den x=2 dir.

16.

Aşağıdaki noktalardan hangisi 

eşitsizliğini sağlar?

Doğru Cevap: "D" (5,25)
Soru Açıklaması

(5,25) noktası verilen eşitsizliği sağlar: 5x-y=5.5-25=0<4.

17.

  9 günde bir nöbet tutan bir doktor ilk nöbetini Salı günü tuttuğuna göre 13. Nöbetini hangi günde tutar?

Doğru Cevap: "A" Cuma
Soru Açıklaması

İlk nöbeti Salı günü tutuyorsa geriye 12 nöbeti kalır.

Son nöbeti Salı dan 3 gün sonra Cuma günü olacaktır.

Doğru cevap A seçeneğidir.

18.
Aşağıdaki sayı ikililerinden hangisi aralarında asaldır?
Doğru Cevap: "E" 69 ve 98
Soru Açıklaması
ebob(12,21)=3 , ebob(45,72)=9, ebob(35,56)=7 ve ebob(21,45)=3 dir. Diğer yandan 69 ve 98 in ortak asal çarpanı olmadığından ebob(69,98)=1 olur. Bu yüzden 69 ve 98 sayıları aralarında asaldır.
19.
mod 7'e göre 12x5 işleminin sonucu aşağıdakilerden hangisidir?
Doğru Cevap: "A" 4
Soru Açıklaması
12x5 = 60 = 7x8 + 4 olduğu için doğru cevap 4 sayısıdır.
20.

I.   1, 2, 1, 2, 4

II.  1, 3, 2, 5, 2

III. 1, 1, 2, 1, 2

IV.  5, 5, 5, 5, 5

Yukarıdaki ifadelerden kaç tanesi bir çizgenin tüm köşe noktalarının derecelerinin bir dizisi olabilir?

Doğru Cevap: "B" 1
Soru Açıklaması

Bir çizgenin tüm köşe noktalarının derecelerinin toplamı çift sayıdır. Yalnızca I ifadesindeki derecelerin toplamı çift sayıdır.

TEST BİTTİ.
CEVAPLARINIZI KONTROL EDİNİZ.
YORUMLAR

Recent Comments

Görüntülenecek bir yorum yok.

Archives

Categories