• Matematik 2 Deneme Final Sınavları – Deneme 12

Matematik 2
Deneme Final Sınavları - Deneme 12
1.

Aşağıda matrisi verilen oyunun aşağı değeri ile yukarı değerinin toplamı kaçtır?

Doğru Cevap: "A" 0
Soru Açıklaması

Önce aşağı değeri bulalım: I. oyuncu birinci satırı seçtiğinde

sayılarının en küçüğü olan -2, ikinci satırı seçtiğinde

sayılarının en küçüğü olan -1, üçüncü satırı seçtiğinde ise

sayılarının en küçüğü olan -3 getirilerini garanti eder. I. oyuncu maksimizasyon yaptığı için bu getirilerin en büyüğü olan -1’i elde edeceği 2. satırı seçer. Dolayısıyla oyunun aşağı değeri -1 dir. Benzer şekilde oyunun yukarı değerini bulalım: II. oyuncu birinci sütunu seçtiğinde

sayılarının en büyüğü olan 1, ikinci sütunu seçtiğinde

sayılarının en büyüğü olan 2, üçüncü sütunu seçtiğinde

sayılarının en büyüğü olan 4 ve dördüncü sütunu seçtiğinde

sayılarının en büyüğü olan 2 kayıplarını garanti eder. II. oyuncu minimizasyon yaptığı için bu kayıpların en küçüğü olan 1’in bulunduğu birinci sütunu seçer. Birinci sütunu seçtiğinde garantilenmiş olan kayıp 1’dir. Dolayısıyla yukarı değer 1’dir. O halde oyunun aşağı ve yukarı değerlerinin toplamı -1+1=0 olur. Doğru cevap A’dır.

2.

Aşağıda matrisi verilen oyunda oyuncu 2. sütunu seçerse garantilenmiş kaybı ne olur?

Doğru Cevap: "C" 3
Soru Açıklaması

2. sütunda yer alan

sayılarının en büyüğü II. oyuncunun garantilenmiş kaybı olacağından doğru cevap C’dir.

3.
Bir düzlemsel çizgede bölge sayısı kenar sayısından 1 eksik ise köşe sayısı kaçtır?
Doğru Cevap: "B" 3
Soru Açıklaması

Bölge sayısı+ köşe sayısı= kenar sayısı+2 olup

kenar sayısı-1+ köşe sayısı = kenar sayısı +2

köşe sayısı=3 elde edilir.

4.

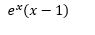
integralinin sonucu aşağıdakilerden hangisidir?

Doğru Cevap: "E"
Soru Açıklaması

İki fonksiyonun toplamının integrali bu fonksiyonların integralleri toplamına eşit olduğundanolur.

Kuvvet fonksiyonunun integral alma kuralı gereği

elde edilir. Üstel fonksiyonun integral alma kuralı gereği

bulunur.

olduğundan

denirse

olur.

5.
obeb(48,64) nedir ?
Doğru Cevap: "C" 16
Soru Açıklaması
48 = 3 x 16 ve 64 = 4 x 16 biçiminde yazılabildiğinden her iki sayıyı da bölen en büyük sayı 16 olur. Bu yüzden obeb(48,64)=16 bulunur.
6.
4 x = 1 (mod 9) denkleminin çözüm kümesi nedir ?
Doğru Cevap: "A" {...,-2,7,16,...}
Soru Açıklaması
4 x = 1 (mod 9) denkleminin bir çözümü x = 7 bulunur. Çünkü 4. 7 = 28 = 1 (mod 9). Buradan çözüm kümesi 7 sayısına 9 eklenerek ve 7 sayısından 9 çıkararak elde edilir. Çözüm kümesi , {...,-2,7,16,...} bulunur.
7.
K6 tam çizgesindeki köşe noktalarının dereceleri toplamı kaçtır?
Doğru Cevap: "E" 30
Soru Açıklaması
K6 tam çizgesindeki her köşeden diğer köşelere 5 kenar vardır. Bunları toplarsak 6(köşe) *5 (kenar)=30 cevabını buluruz.
8.

Bugün günlerden Pazar ise 102 gün sonra günlerden ne olur?

Doğru Cevap: "C" Perşembe
Soru Açıklaması

102 sayısını 7’ye bölerek kalanı bulalım.

102=14x7+4

olduğundan kalan 4'tür. Pazar gününden başlayarak 4 gün sonrasına denk gelen gün Perşembe istenen cevap olur. 

9.

Aşağıda matrisi verilen oyunda oyuncuların maksimin-minimaks stratejileri nedir?

Doğru Cevap: "E" (2. Satır, 1. Sütun)
Soru Açıklaması

Her satırın sağına o satırın en küçüğünü, her sütunun altına da o sütunun en büyüğünü yazalım:

 maks{-1,0,-3}=0 ve min{0,2,1,3}=0  olduğundan (2. Satır, 1. Sütun) çifti maksimin-minimaks stratejileri çiftidir.

10.

Kuvvet fonksiyonuyla şifrelemede p=10, e=5  olsun. M=8 sayısının şifrelenmişi aşağıdakilerden hangisidir?

Doğru Cevap: "A" 8
Soru Açıklaması

85=82.82.8=64.64.8?16.8?6.8=48?8 (mod 10) olur. Böylece ş(8)=8'dir.

11.

eşitsizliğini sağlayan noktalardan biri aşağıdakilerden hangisidir?

Doğru Cevap: "A" (0,0)
Soru Açıklaması

Verilen noktalardan sadece (0,0) taralı bölgeye düşer.

12.

Deşifre fonksiyonu

sayısının deşifresi aşağıdakilerden hangisidir?

Doğru Cevap: "A" 8
Soru Açıklaması

olduğundan 

olur. Doğru cevap A’dır.

13.

işleminin sonucu aşağıdakilerden hangisidir? 

Doğru Cevap: "C" 3
Soru Açıklaması

olduğundan

bulunur. Doğru cevap C’dir.

14.

344 sayısının birler basamağındaki rakam kaçtır?

Doğru Cevap: "B" 1
Soru Açıklaması

Bir sayının 10 ile bölümünden kalan sayı birler basamağındaki sayıdır. 

344?(34)11?(81)11?111?1 (mod 10)

bulunur. 

15.
Sırasıyla 1., 2., ve 3. satırları (-3 5 1), (-6 1 4), ve (0 2 3) olan sıfır toplamlı oyunun, eğer varsa denge ikilisini bulunuz.
Doğru Cevap: "A" 3. satır 1. sütun
Soru Açıklaması
Verilen satırların en küçük elemanları -3, -6, ve 0 olduğu için bu sayıların en büyüğü 0 dir. Yine verilen satırlardan oluşturulan oyun matrisin kolonlarının en büyük elemanları 0, 5, ve 4 dür. Bu sayıların en küçüğü ise 0 dir. Bu sayılar eşit olduğu için aranılan ikili 3. satır ve 1. sütundur.
16.

Doğru Cevap: "C"
Soru Açıklaması

17.
Dedikodunun yayılma hızı ne ile doğru orantılıdır?
Doğru Cevap: "A" Hem dedikoduyu duyan kişi sayısı, hem de dedikoduyu duymayan kişi sayısı
Soru Açıklaması
Dedikodunun yayılma hızı hem dedikoduyu duymuş olan kişi sayısı hem de henüz dedikoduyu duymamış olan kişi sayısıyla doğru orantılıdır.
18.
d(y)=12(y-6) (mod 9) deşifre fonksiyonuna göre y=8 sayısının deşifresi aşağıdakilerden hangisidir?
Doğru Cevap: "E" 6
Soru Açıklaması
d(8)=12(8-6)=24, 24/9 dan kalan 6 olur.
19.

Aşağıda matrisi verilen sıfır toplamlı oyunun denge ikilisi aşağıdakilerden hangisidir?

Doğru Cevap: "E" (2. Satır, 4. Sütun)
Soru Açıklaması

Her satırın sağına o satırın en küçüğünü, her sütunun altına da o sütunun en büyüğünü yazalım:

Eğer matriste bulunduğu satırda en küçük, bulunduğu sütunda ise en büyük olacak şekilde bir eleman varsa bu elemanın bulunduğu satır sütun numaralarına denge ikilisi denir. O halde bu soru için denge ikilisi vardır ve (2. Satır, 4. Sütun) denge ikilisi olur. Buradan doğru cevap E’dir.

20.
Sırasıyla 1., 2., ve 3. satırları (4 -5 3 2), (-3 -6 -7 1), ve (3 4 2 1) şeklinde verilen oyunda 1. oyuncu 2. satırı seçtiğinde garantilenmiş kazancı aşağıdakilerden hangisidir?
Doğru Cevap: "A" -7
Soru Açıklaması
2. satırın en küçük elemanı -7 dir.
TEST BİTTİ.
CEVAPLARINIZI KONTROL EDİNİZ.
YORUMLAR

Recent Comments

Görüntülenecek bir yorum yok.

Archives

Categories