• Matematik 2 Deneme Final Sınavları – Deneme 14

Matematik 2
Deneme Final Sınavları - Deneme 14
1.
x-4?3 (mod5) denkliğinin çözüm kümesi aşağıdakilerden hangisidir?
Doğru Cevap: "A" {..., -13,-8,-3,2,7,12 ,...}
Soru Açıklaması
x-4?3 (mod5) x-4+4?3+4 ( mod5) x?7 ...> x?2 (mod5) 2 ye 5 ekleyerek ve çıkararak çözüm kümesine elde edebilriz o halde cevap a şıkkıdır.
2.

Türkiye’nin nüfusu, adrese dayalı nüfus kayıt sistemine göre 2016 yılında 79814871 kişi olarak belirlenmiştir. Yıllık nüfus artış oranı %1,35 olduğuna göre 2023 yılında toplam nüfus ne kadar olur? (2023 yılındaki toplam nüfus N ile gösterilsin)

Doğru Cevap: "B"
Soru Açıklaması

Nüfus değişimini veren diferansiyel denklem dy/dt=Ky  şeklinde ifade edilmişti. 2016 yılı başlangıç olarak alınırsa t=0 anında nüfus y(0)=79814871, değişim oranı K=0,0135 olup 2023 yılındaki nüfus başka bir deyişle başlangıçtan 7 yıl sonraki nüfus

başlangıç değer probleminin çözülmesiyle bulunur. Bu diferansiyel denklemin çözümünün, adına Malthus modeli denilen

biçiminde bir üstel fonksiyon olduğu bulunmuştu. Buna göre başlangıç nüfusu ve artış oranının bu üstel fonksiyonda yerine yazılmasıyla 2016 yılından t yıl sonraki ülke nüfusu

olur. Buna göre 2023 yılında yaklaşık nüfus,

şeklinde elde edilir.

3.
32 sayısının 8. kuvvetinin 13 ile bölümünden kalan kaçtır?
Doğru Cevap: "A" 3
Soru Açıklaması
32^8 = 6^8 (32 sayısı mod 13 e göre 6 sayısına eşittir) = 36 ^4 = 10^4 = 100^2 = 9^2 = 3.
4.

5 köşe noktası olan farklı kaç tane ağaç vardır?

Doğru Cevap: "B" 125
Soru Açıklaması

n köşe noktası olan farklı ağaçların sayısı  

olur. Bu durumda n yerine 5 yazarsak ağaç sayısını 5³=125 olarak buluruz.

5.
2, 11, 46, 57, 97, 111, 231 sayılarından kaç tanesi asal sayı değildir?
Doğru Cevap: "C" 4
Soru Açıklaması
46, 57, 111, 231 sayılarının 1 ve kendisinden başka bölenleri olduğundan bu sayılar asal değildir.
6.

Aşağıda matrisi verilen oyunun aşağı değeri kaçtır?

Doğru Cevap: "B" -1
Soru Açıklaması

I. oyuncu birinci satırı seçtiğinde

sayılarının en küçüğü olan -1, ikinci satırı seçtiğinde

sayılarının en küçüğü olan -2, üçüncü satırı seçtiğinde

sayılarının en küçüğü olan -4 ve dördüncü satırı seçtiğinde

sayılarının en küçüğü olan -3 kazançlarını garanti eder. I. oyuncu maksimizasyon yaptığı için birinci satırı seçer. Birinci satırı seçtiğinde garantilenmiş olan kazanç -1’dir. Doğru cevap B’dir.

7.
Deşifre fonksiyonu d(y)= 19(y-6) (mod 17) ile y= 15 sayısının deşifresi aşağıdakilerden hangisidir?
Doğru Cevap: "D" 1
Soru Açıklaması
d(15)= 19(15-6) (mod 17) = 1
8.
Savunma stratejisi nedir?
Doğru Cevap: "B" I. oyuncunun maksimin, II. oyuncunun minimaks stratejilerine onların savunma stratejileri denir.
Soru Açıklaması
I. oyuncunun maksimin, II. oyuncunun minimaks stratejilerine onların savunma stratejileri denir.
9.
Beyaz altıgenlerden ve siyah beşgenlerden oluşan futbol toplarının ayrıt sayısı kaçtır?
Doğru Cevap: "D" 90
Soru Açıklaması
Bu futbol topları bir düzgün 20 yüzlünün köşeleri uygun bir şekilde kesilerek elde edilebilmektedir. Bu durumda 12 düzgün beşgen ve 20 düzgün altıgen ortaya çıkmaktadır. Bu cismin 12+20=32 yüzü ve 60 köşesi bulunmaktadır. Böylece Euler formülünü kullanarak 32+60=a+2 a=90 ayrıtı olduğu kolayca bulunabilmektedir
10.

Aşağıdaki çizgenin hangi köşe noktasının derecesi en büyüktür?

Doğru Cevap: "B" 2,2,1,1,1
Soru Açıklaması

Bir çizgenin tüm köşe noktalarının dereceleri toplamı çift sayıdır. Buna göre bir çizgenin köşe noktalarının dereceleri 2,2,1,1,1 olamaz. Çünkü bu derecelerin toplamı  5 olup bu bir tek sayıdır.

11.

48 birler basamağındaki rakam kaçtır?

Doğru Cevap: "A" 6
Soru Açıklaması

olur.

12.
Bir çizgedeki tüm köşe noktalarının dereceleri toplamı 10 ise, çizgedeki kenar sayısı kaçtır?
Doğru Cevap: "A" 5
Soru Açıklaması
Teorem gereğince bir çizgedeki tüm köşe noktalarının dereceleri toplamı çizgedeki kenar sayısının iki katına eşit olacağından çizgedeki kenar sayısı 10/2 = 5 olur.
13.

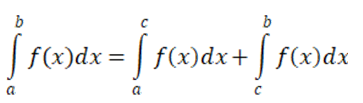
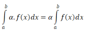
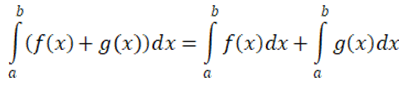
f ve g, [a,b] aralığında sürekli fonksiyonlar,

bir reel sayı ve a<c<b olmak üzere, aşağıdakilerden hangisi yanlıştır?

Doğru Cevap: "C"
Soru Açıklaması

İntegrant iki fonksiyonun çarpımı biçimindeyse bunların integrali çarpıma giren fonksiyonların integrallerinin çarpımına eşit olmak zorunda değildir. Örneğin;

olup

olur.

14.
Matris oyunları nedir?
Doğru Cevap: "C" İki kişilik sıfır toplamlı sonlu oyunların diğer adıdır.
Soru Açıklaması
İki kişilik sıfır toplamlı sonlu oyunlar matris oyunları olarak adlandırlmaktadır.
15.

Aşağıda ifade edilen matris oyununun aşağı değeri nedir?

Doğru Cevap: "A" 1
Soru Açıklaması

Oyuncunun her satırdaki değerleri inceleyip her satırdaki en küçük değeri seçerek sayıların aşağı değerini garanti etmiş olur. Her satırın en küçük değerleri sırasıyla 1, -2 ve -7’dir. Oyuncu maksimizasyon yaptığı için, 1. satırı seçmek oyuncu için karlı olacaktır. Bunu seçtiğinde garantilemiş olduğu getiri en büyük olur. Bu yüzden, en büyük olan 1 sayısı aşağı değerdir.

16.
Sıfır toplamlı sonlu oyunda denge varsa aşağıdakilerden hangisi doğru değildir?
Doğru Cevap: "B" I. oyuncunun aşağı değeri II. oyuncunun yukarı değerinden fazladır
Soru Açıklaması
Denge ile ilgili olarak; Matriste öyle bir eleman vardır ki bu eleman bulunduğu satırda en küçük bulunduğu sütunda ise en büyüktür Oyunun aşağı değeri yukarı değerine eşittir. Maksimin-minimaks stratejileri denge ikilisidir.
17.

Aşağıda verilen çizgedeki köşelerden kaç tanesi b noktasının bir komşusu değildir?

Doğru Cevap: "C" 3
Soru Açıklaması

Verilen çizgede b noktasını a ve f köşeleriyle birleştiren kenarlar mevcuttur, fakat c, d ve e köşeleriyle birleştiren kenarlar mevcut değildir. Doğru cevap 3'tür.

18.

Doğru Cevap: "A"
Soru Açıklaması

19.
Her düzlemsel çizgenin köşe noktaları komşu noktalar farklı renklerde olacak şekilde kaç renk ile boyanır ?
Doğru Cevap: "C" 4
Soru Açıklaması
4 renk teoerimi gereği düzlemsel çizgeler 4 renk ile boyanır.
20.

y=f(x)  fonksiyonun grafiği aşağıda verilmiştir. Buna göre

 integralinin sonucu aşağıdakilerden hangisidir?

 

Doğru Cevap: "A" -3/2
Soru Açıklaması

TEST BİTTİ.
CEVAPLARINIZI KONTROL EDİNİZ.
YORUMLAR

Recent Comments

Görüntülenecek bir yorum yok.

Archives

Categories