• Matematik 2 Deneme Final Sınavları – Deneme 15

Matematik 2
Deneme Final Sınavları - Deneme 15
1.
n tane köşe noktası olan farklı ağaçların sayısını 125 ise n kaçtır?
Doğru Cevap: "B" 5
Soru Açıklaması
2.

Matrisi

olan oyunun yukarı değeri aşağıdakilerden hangisidir?

Doğru Cevap: "C" 2
Soru Açıklaması

Sütunların en büyükleri 3, 2, 4, 5’dir. Bu sayıların en küçüğü 2 olduğundan yukarı değer 2’dir.

3.
mod 12 ' ye göre 23.8 işleminin sonucu aşağıdakilerden hangisidir?
Doğru Cevap: "C" 4
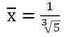
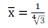
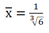
Soru Açıklaması
23.8=207 207=12.17+3 olduğundan dolayı bu işlemin mod 12 ' ye göre çözümü 3 tür Düzeltme: 23x8=184=12x15+4
4.
Tüm köşe noktalarının derecesi en fazla 5 olan bir çizgenin, köşe noktalarını komşu noktalar farklı renklerde olacak şekilde en az kaç renk ile boyayabiliriz?
Doğru Cevap: "C" 6
Soru Açıklaması
Tüm köşe noktalarının derecesi en fazla d= 5 olan bir çizgenin, köşe noktalarını komşu noktalar farklı renklerde olacak şekilde d+1=6 renk ile boyayabiliriz.
5.
Bir düzgün altıyüzlüde kenar sayısı 9 ise köşe sayısı kaçtır ?
Doğru Cevap: "E" 5
Soru Açıklaması
Bir düzgün altıyüzlüde 6 tane yüz (bölge) mevcuttur. Kenar sayısı A , bölge sayısı B ve köşe sayısı K ile gösterilir ise , B + K = A + 2 olduğundan B = 6 ve A = 9 için K = 5 bulunur.
6.

Aşağıdaki çizgelerden hangisi bir ağaç değildir? 

Doğru Cevap: "E"
Soru Açıklaması

E seçeneğindeki çizge bir ağaç değildir. Çizgenin bir köşesi seçildiğinde bu köşeye ulaşmak için birden fazla gezinti vardır. Yani bu çizge bir döngü içermektedir.

7.

Aşağıdaki sayılardan hangisi aralarında asal değildir?

Doğru Cevap: "C" 336,16
Soru Açıklaması

ebob (336,16)=ebob (73.24, 24)=16 olduğundan 336 ile 16 aralarında asal değildir.

8.
Doğrusal şifreleme fonksiyonu;ş(x) = 5x +5 (mod 29)olarak verilen bir fonksiyonda x=20 sayısının şifrelenmiş hali kaçtır?
Doğru Cevap: "C" 18
Soru Açıklaması
ş(20) = 5 · 20+5 (mod 29) 5 · 20+ 5 = 105 olur ve 105 ≡ 18 (mod 29) olduğu için; ş(20) = 18 (mod 29) olur (105’in 29’a bölümünden kalan 18’dir). Yani 20 sayısının verilen fonksiyona göre şifrelenmiş hali 18’dir.
9.
Aşağıda verilen ifadelerden hangisi doğrudur?
Doğru Cevap: "B" Bir çizgedeki tüm köşe noktalarının dereceleri toplamı çizgedeki kenar sayısının iki katına eşittir.
Soru Açıklaması
Bir çizgede derecesi tek olan köşe noktalarının sayısı çifttir. Bir çizgedeki tüm köşe noktalarının derecelerinin toplamı çift sayıdır. Böylece D ve E seçeneği yanlıştır. Bir çizgedeki tüm köşe noktalarının dereceleri toplamı çizgedeki kenar sayısının iki katına eşit olup doğru cevap B dir.
10.

8 köşe noktası olan farklı ağaçların sayısı hangisidir?

Doğru Cevap: "A" 262144
Soru Açıklaması

Aslında İngiliz matematikçi Arthur Cayley n tane köşe noktası olan farklı ağaçların sayısının nn-2 olduğunu kanıtlamıştır.

nn-2 =88-2=86 =262144 olur.

11.

sayısının birler basamağındaki rakam kaçtır?

Doğru Cevap: "B" 1
Soru Açıklaması

Bir sayının 10 ile bölümünden kalan sayı birler basamağındaki sayıdır.

bulunur. Doğru cevap B’dir.

12.

Bir çizgede her kenardan bir kez geçen bir gezinti varsa aşağıdakilerden hangisi ya da hangileri doğrudur?

 I. Dereceleri tek olan köşe noktalarının sayısı ikiden fazladır.

II. Bütün köşe noktalarının dereceleri tektir.

III. Sadece iki köşe noktasının derecesi tek diğerleri çifttir.

Doğru Cevap: "E" III
Soru Açıklaması

Bir çizgede her kenardan bir kez geçen bir gezinti varsa bütün köşe noktalarının derecesi çift olmalıdır. Ya da sadece iki köşe noktası derecesi tek olup diğerlerinin derecesi çift olmalıdır. Dereceleri tek olan köşe noktalarının sayısı ikiden fazla ise o zaman böyle bir gezinti olamaz. Doğru yanıt E dir.

13.

K5 tam çizgesinin kaç kenarı vardır?

Doğru Cevap: "D" 10
Soru Açıklaması

Bir çizgede kenar sayısı tüm köşelerin dereceleri toplamının yarısıdır. K5 tam çizgesinin her köşesinin derecesi 4'tür. Çizgenin 5 tane köşe noktası olduğundan 5.4/2=10 kenarı olduğu bulunur.

14.

mod 9 ’a göre 12.13 işleminin sonucu aşağıdakilerden hangisidir? 

Doğru Cevap: "C" 3
Soru Açıklaması

12 ≡3 (mod 9) ve 13 ≡ 4 (mod 9) olduğundan 12.13 ≡3.4 ≡12 ≡ 3 (mod 9) bulunur.

15.

Aşağıda verilen çizge 6 kişilik bir toplantıda birbirleri ile tokalaşan kişileri göstermektedir. Bu toplantıda en fazla tokalaşan kişi kaç kez tokalaşmıştır?

Doğru Cevap: "C" 4
Soru Açıklaması

Bu çizgede köşeler kişileri, köşeden çıkan kenarlar tokalaşmayı temsil etmektedir. En fazla kenar çizgenin ortasındaki köşeden çıkmaktadır. Bu köşeden 4 kenar çıktığı için, doğru cevap 4 tür.

16.

f(x)=x3 fonksiyonunun [0,1] aralığı üzerindeki 

 

ortalama değerini veren

 

aşağıdakilerden hangisidir?

Doğru Cevap: "A"
Soru Açıklaması

olur.

bulunur.

17.

x miktarı ve p fiyatı göstermek üzere bir malın arz fonksiyonu p=x+10 şeklinde verilmiştir. Piyasa fiyatı 12 olduğuna göre üretici rantı aşağıdakilerden hangisidir?

Doğru Cevap: "A" 2
Soru Açıklaması

Arz fonksiyonunda piyasa fiyatı 12 yerine yazılırsa 12=x+10 olup x=2 bulunur. Bu değer de  

şeklinde gösterilirse buradan üretici rantı

bulunur.

18.
Aşağıdaki sayılardan hangisi asaldır?
Doğru Cevap: "D" 67
Soru Açıklaması

33 sayısı 3’e bölündüğünden, 49 sayısı 7’ye bölündüğünden, 51 sayısı 17’ye bölündüğünden, 87 sayısı 29’a bölündüğünden asal değildirler. 87 sayısı için

olup 87, 10’dan küçük asal sayılara bölünemediğinden asaldır. Doğru cevap E’dır.

19.

37 sayısının 5’e bölümünden kalan kaçtır?

Doğru Cevap: "B" 2
Soru Açıklaması

3

TEST BİTTİ.
CEVAPLARINIZI KONTROL EDİNİZ.
YORUMLAR

Recent Comments

Görüntülenecek bir yorum yok.

Archives

Categories