Doğrusal şifreleme yapılırken
denkleminin
çözümünün olması için hangisi olmalıdır?
denkleminin
çözümünün olması için
olmalıdır. Doğru cevap A’dır.
Bir malın talep fiyat esnekliği 1/3 olarak verildiğine göre bu malın miktarı ve fiyatı arasındaki ilişkiyi veren talep denklemi aşağıdakilerden hangisidir?
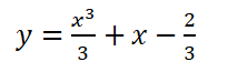
diferansiyel denkleminin y(1)=2 koşuluna uyan çözümü aşağıdakilerden hangisidir?
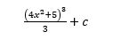
Diferansiyel denklemin genel çözümü
denkleminden c=2/3 bulunur.
diferansiyel denkleminin koşuluna uyan çözümü
bulunur.
8 takımdan oluşan bir ligin ikinci haftası tamamlanmıştır. Bu ligin durumunu gösteren çizge aşağıdaki gibidir. Buna göre aşağıdakilerden hangisi söylenemez?
e ve h den birer kenar çıktığı için bu takımların oynaması gereken maç ertelenmiştir. Dolayısıyla ikince hafta sonunda bir maç eksik kalmış olup. Tüm maçlar yapılmıştır ifadesi doğru değildir.
Deşifre fonksiyonu d(y)=21(y-4) (mod 29) ise y=17 sayısının deşifresi aşağıdakilerden hangisidir?
d(17)=21(17-4)(mod 29)
21.13?273?12(mod 29) olduğundan d(17)=12 olur.