• Matematik 2 Deneme Final Sınavları – Deneme 18

Matematik 2
Deneme Final Sınavları - Deneme 18
1.
Hastanede 5 günde bir nöbet tutan doktor, ilk nöbetini Çarşamba tutmuş ise, 17. nöbetini hangi gün tutar?
Doğru Cevap: "C" Cumartesi
Soru Açıklaması
Doktor 1. nöbetini Çarşamba günü, 2. nöbetini bundan sonraki 5. gün olan Pazartesi günü, 3. nöbetini Pazartesinden sonraki 5. gün olan Cumartesi günü tutacak ve bu periyot en az 17. nöbete kadar devam edecektir. 1. nöbet ile 17. nöbet arasında 16 tane 5 gün olur. Yani 17. nöbet 5x16 = 80. günde tutulacaktır. O halde 1. gün Çarşamba ise 80. günün hangi gün olacağını bulmalıyız. 80 = 11x7 + 3 tür. Doktor Çarşambadan sonraki 3. günde yani Cumartesi günü 17. nöbetini tutar.
2.
ebob(36,81)=?
Doğru Cevap: "D" 9
Soru Açıklaması
ebob(36,81)=9
3.

Matrisi

olan oyunun aşağı değeri aşağıdakilerden hangisidir?

Doğru Cevap: "C" 0
Soru Açıklaması

Satırların en küçükleri -1, 0, -2’dir. Bu sayıların en büyüğü 0 olduğundan aşağı değer 0’dır.

4.

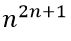
n tane köşe noktası olan farklı ağaçların sayısı aşağıdakilerden hangisidir?

Doğru Cevap: "E"
Soru Açıklaması

    n tane köşe noktası olan farklı ağaçların sayısı     

   dir.

5.

matris oyununda birinci oyuncu 1. satırı seçtiğindeki garantilenmiş kazancı ile 2. satırı seçtiğindeki garantilenmiş kazancının toplamı aşağıdakilerden hangisidir?

Doğru Cevap: "B" 0
Soru Açıklaması

1. satırı seçtiğinde garantilenmiş kazancı 2, 2. satırı seçtiğinde garantilenmiş kazancı -2 olduğundan toplamı 0 dır. Cevap B dir.

6.

Sıfır toplamlı olmayan

oyununun denge ikilisi aşağıdakilerden hangisidir?

Doğru Cevap: "A"
Soru Açıklaması

(3,2) ikilisinin birinci bileşeni 3, bulunduğu 1. Sütundaki birinci bileşenlerin en büyüğüdür (bu bileşenler 1,0 ve 3’tür). 2 sayısı da bulunduğu 3. satırdaki ikinci bileşenlerin en büyüğüdür (bu bileşenler 2,1 ve 0’dır). Bundan dolayı (3. Satır, 1. Sütun) denge ikilisidir.

7.
Doğrusal şifreleme fonksiyonu d(x) = 5(x+5)(mod 11) ile x =11 sayısının şifrelenmişi aşağıdakilerden hangisidir?
Doğru Cevap: "C" 3
Soru Açıklaması
d(11) = 5 · ( 11 + 5) (mod 11) 80 ? 3 (mod 11) olduğundan d(11) = 3 olur. Doğru cevap C şıkkıdır
8.

integralinin değeri aşağıdakilerden hangisidir?

Doğru Cevap: "A" -2/3
Soru Açıklaması

9.

Aşağıdaki çizgilerden hangisi düzlemsel değildir?

Doğru Cevap: "B"
Soru Açıklaması

B şıkkındaki K5 tam çizgesini kenarları birbiriyle kesişmeyecek şekilde çizemeyiz. Dolayısıyla düzlemsel bir çizge değildir.

10.
Ebob (45,120)?
Doğru Cevap: "C" 15
Soru Açıklaması
45 = 5. 3.3 ve 120 = 2.2.2.2.3.5 Böylece ebob (45,120) = 3.5 = 15 olarak bulunur.
11.

Matrisi

şeklinde verilen oyunda birinci oyuncu 1. satırı seçtiğinde garantilenmiş kazancı aşağıdakilerden hangisidir?

Doğru Cevap: "A" -2
Soru Açıklaması

Birinci satırdaki

sayılarının en küçüğü olan -2 birinci oyuncunun garantilenmiş kazancıdır. Doğru cevap A şıkkıdır.

 

12.
Bir çizgenin tüm köşe noktalarının derecesi en fazla 7 ise bu çizgenin köşe noktaları, komşu noktalar farklı renkte olacak şekilde kaç renk ile boyanabilir?
Doğru Cevap: "D" 8
Soru Açıklaması
çizgenin tüm köşe noktalarının derecesi en fazla d ise bu çizgenin köşe noktaları, komşu noktalar farklı renklerde olacak şekilde d + 1 renk ile boyanabilir.
13.

Matrisi

olan oyunda II. oyuncunun minimaks stratejisi aşağıdakilerden hangisidir?

Doğru Cevap: "E" 5.sütun
Soru Açıklaması

Sütunların en büyükleri 4, 3, 2, 5 ve 1’dir. Bu sayıların en küçüğü 1’dir. 1’in bulunduğu 5. sütun II. oyuncunun minimaks stratejisidir.

14.

denkliğinin çözüm kümesi aşağıdakilerden hangisidir?

Doğru Cevap: "E"
Soru Açıklaması

Denkliğin her iki tarafına 1 eklenirse

 elde edilir. Denkliğin her iki tarafı 3 ile çarpılırsa

olur. Böylece çözüm kümesi, 7 ile bölümünden 5 kalanını veren sayıların kümesidir. Doğru cevap E’dir.

 

15.

Matrisi

şeklinde verilen oyunda, II. oyuncunun minimaks stratejisi nedir?

Doğru Cevap: "C" 1.sütun
Soru Açıklaması

Oyun II. oyuncu ile oynandığından sütunlar göz önünde bulundurulmalıdır. Sütunlardaki sayıların en büyükleri sırasıyla 1, 3 ve 4’tür. Bu sayıların en küçüğü olan 1’in bulunduğu 1. sütun II. oyuncunun minimaks stratejisidir.

16.

Matrisi

 

olan oyunda I. oyuncu 1. satırı seçtiğinde garantilenmiş kazancı ile 3. satırı seçtiğinde garantilenmiş kazancının toplamı aşağıdakilerden hangisidir?

Doğru Cevap: "B" -3
Soru Açıklaması

1. satır seçildiğinde garantilenmiş kazanç {1,-2,4} sayılarının en küçüğü olan (-2) ‘dir. 3. satır seçildiğinde garantilenmiş kazanç {-1,1,2} sayılarının en küçüğü (-1)’dir. Cevap -2 +(-1) = -3’tür.

17.
5 tane köşe noktası olan kaç farklı ağaç vardır?
Doğru Cevap: "B" 125
Soru Açıklaması
18.

Bir Çizgeye ilişkin aşağıda verilen ifadelerden hangisi doğrudur?

Doğru Cevap: "E" Bir çizgede derecesi tek olan köşe noktalarının sayısı çifttir.
Soru Açıklaması

Bir çizgede tüm köşe noktaları derecesi toplamı çift sayıdır. Bir çizgedeki tüm köşe noktalarının dereceleri toplamı çizgedeki kenar sayısının iki katıdır. Çizge, boş kümeden farklı noktalar kümesiyle bu noktalar arasındaki çizgilerin kümesidir. Bir köşe noktasından kendisine kenar çizilebilir.

19.
Sırasıyla 1., 2., ve 3. satırları (4 -5 3 2), (-3 -6 -7 1), ve (3 4 2 1) şeklinde verilen oyunda 2. oyuncu 1. sütunu seçtiğinde garantilenmiş kaybı nedir?
Doğru Cevap: "A" 4
Soru Açıklaması
Garantilenmiş kayıp 4, -3, ve 3 sayılarının en büyüğü olan 4 dür.
TEST BİTTİ.
CEVAPLARINIZI KONTROL EDİNİZ.
YORUMLAR

Recent Comments

Görüntülenecek bir yorum yok.

Archives

Categories