• Matematik 2 Deneme Final Sınavları – Deneme 27

Matematik 2
Deneme Final Sınavları - Deneme 27
1.
Kuvvet fonksiyonuyla şifrelemede p=13 ve e=5 olsun. M=6 sayısının şifrelenmişi aşağıdakilerden hangisidir?
Doğru Cevap: "A" 2
Soru Açıklaması
ş(6) = 6^5 (mod 13) = 6^2 x 6^2 x 6 (mod 13) = 10 x 10 x 6 (mod 13) = 9 x 6 (mod 13) = 2 (mod 13).
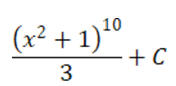
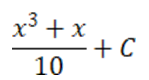
2.

integralinin sonucu aşağıdakilerden hangisidir?

Doğru Cevap: "C"
Soru Açıklaması

İntegralde u=x3+x değişken değiştirmesi yapılırsa, du=(3x2+1)dx olarak bulunur. İntegralde yerine yazarsak,

 şeklinde ifade edilir.

3.

Aşağıda matrisi verilen sıfır toplamlı oyunun denge ikilisi aşağıdakilerden hangisidir?

 

Doğru Cevap: "A" (2.Satır, 1.Sütun)
Soru Açıklaması

Her satırın sağına o satırın en küçüğünü, her sütunun altına da o sütunun en büyüğünü yazalım:

Eğer matriste bulunduğu satırda en küçük, bulunduğu sütunda ise en büyük olacak şekilde bir eleman varsa bu elemanın bulunduğu satır sütun numaralarına denge ikilisi denir. O halde bu soru için denge ikilisi vardır ve (2. Satır, 1. Sütun) denge ikilisi olur.

4.

Deşifre fonksiyonu

olan doğrusal şifreleme fonksiyonu aşağıdakilerden hangisidir?

Doğru Cevap: "B"
Soru Açıklaması

doğrusal şifreleme fonksiyonunun deşifre fonksiyonu

şeklindedir. Burada

sayısı

olacak şekildeki bir sayıdır (

’nın

 

moduna göre tersi). O halde

denkliğinden

olması gerekir. Buradan doğru cevap B’dir.

5.
3. soruda matrisi verilen oyunun aşağı değeri aşağıdakilerden hangisidir?
Doğru Cevap: "B" -1
Soru Açıklaması
: Her satırın karşısına bu satırın en küçük elemanını, her sütunun altına o sütunun en büyük elemanını yazalım. Sağdaki (-1, -2, -3) sayılarının en büyüğü (−1) sayısı oyunun aşağı değeri alttaki (1,3,4,5) sayılarının en küçüğü olan 1 sayısı ise oyunun yukarı değeridir. Cevap B dir.
6.

Matrisi

şeklinde verilen oyunda birinci oyuncu 1. satırı seçtiğinde garantilenmiş kazancı aşağıdakilerden hangisidir?

Doğru Cevap: "A" -2
Soru Açıklaması

Birinci satırdaki {2,-1,-2,0} sayılarının en küçüğü olan -2 birinci oyuncunun garantilenmiş kazancıdır.

7.

6 günde bir mantar çorbası, 8 günde bir de brokoli çorbası pişiren bir lokanta her iki çorbayı da Pazartesi günü pişirdiyse bir sonraki sefer bu iki çorba aynı anda hangi gün pişer?

Doğru Cevap: "E" Perşembe
Soru Açıklaması

Önce 6 ve 8 sayılarının en küçük ortak katı bulunmalıdır. 6=2x3 ve 8=23 olduğundan ekok(6,8)=23x4=24 olur. Şimdi de pazartesiden 24 gün sonrasının hangi güne denk geldiği bulunmalıdır. 

olduğundan Pazartesiden başlayarak 3 gün sonrasına denk gelen gün aranan cevap olur.

 

8.

Türkçe alfabedeki 29 harf A=0, B=1, … , Z=28 şeklinde kodlansın. Aşağıdakilerden hangisi Sezar şifrelemesinde

fonksiyonu kullanılarak “ÇAY” sözcüğünün şifrelenmişidir?

Doğru Cevap: "E" ÜŞR
Soru Açıklaması

Ç=3, A=0 ve Y=27 olarak kodlandığından,

Ü=25, Ş=22 ve R=20 şeklinde kodlandığından doğru cevap E’dir.

9.

Matrisi

olan oyunun denge ikilisi aşağıdakilerden hangisidir?

Doğru Cevap: "D" (1,3)
Soru Açıklaması

Her satırın karşısına en küçük elemanını, sütunların altına en büyük elemanı yazıp birincilerin maksimumunu, ikincilerin minimumunu bulalım:

maksimum{-1, -4, -7}=-1, minimum{5, 3, -1}=-1. Maksimum ve minimum eşit olduğundan -1’in bulunduğu 1. satır ve 3. sütun denge ikilisidir. Doğru yanıt D seçeneğidir.

10.

Doğru Cevap: "A" 38
Soru Açıklaması

olduğundan

olduğundan

elde edilir. Buradan doğru cevap A’dır.

11.

Aşağıda verilen çizgelerden hangisi tamdır?

Doğru Cevap: "E"
Soru Açıklaması

Bir çizgenin herhangi iki köşe noktası arasında bir kenar varsa, bu çizgeye tam çizge denir. Yani tam çizge olması için tüm köşe noktaları arasında bir kenar olmalıdır. Bu koşul sadece E)-şıkkındaki çizgede sağlanmaktadır.

12.

“Bir çizgedeki tüm köşe noktalarının dereceleri toplamı ----“ cümlesindeki boşluk bırakılan yere gelmesi gereken aşağıdakilerden hangisidir?

Doğru Cevap: "D" çift sayıdır
Soru Açıklaması

Bir çizgedeki tüm köşe noktalarının dereceleri toplamı çit sayıdır

13.

Doğru Cevap: "D" 10
Soru Açıklaması

14.

matris oyununda I. oyuncu 2. satırı seçtiğinde garantilenmiş kazancı ile 4. satırı seçtiğindeki garantilenmiş kazancının toplamı aşağıdakilerden hangisidir?

Doğru Cevap: "B" -10
Soru Açıklaması

2. satırdaki {-7, -11, -6} sayılarının en küçüğü -11, 4. satırdaki {3, 4, 1} sayılarının en küçüğü 1’dir. Bu yüzden garantilenmiş kazançlar sırasıyla -11 ve 1’dir, toplamları da -10 olacaktır.

15.
Bir düzlemsel çizgede köşe sayısı 6 ve kenar sayısı 9 ise bölge sayısı kaçtır?
Doğru Cevap: "B" 5
Soru Açıklaması
bölge sayısı + köşe noktaların sayısı = kenar sayısı + 2 olduğuna göre, bölge sayısı + 6 = 9 + 2 eşitliğinden bölge sayısı = 11- 6 =5 olarak bulunur.
16.

Deşifre fonksiyonu d(y)=13(2y-7) (mod 29) ile y=15 sayısının deşifresi aşağıdakilerden hangisidir?

Doğru Cevap: "B" 9
Soru Açıklaması

d(15)=13(2*15-7)=299 ve 299?9 (mod 29) olduğundan doğru cevap B seçeneğidir.

17.

3 günde bir nöbet tutan bir doktor ilk nöbetini pazartesi tuttuğuna göre 13. nöbetini hangi gün tutar?

Doğru Cevap: "B" Salı
Soru Açıklaması

Pazartesi tutulan ilk nöbetten sonra geriye 12 nöbet kalır. Son nöbet 12.3=36 gün sonra tutulur. 36?1 (mod 7) olduğundan son nöbet Salı günü tutulur.

18.
Bugün (1. gün) Pazartesidir. Derya 93. gün trenle geziye gidecektir. Derya'nın geziye gideceği gün aşağıdakilerden hangisidir?
Doğru Cevap: "B" Salı
Soru Açıklaması
93=7.13+2 olduğundan artan 2 günden ilki pazartesi, ikincisi salıdır.
19.

Aşağıdaki noktalardan hangisi -2x + y ≥ 4 eşitsizliğini sağlar?

Doğru Cevap: "A" (-2,2)
Soru Açıklaması

(-2,2) noktasını eşitsizlikte yerine yazarsak-2x+y=-2(-2)+2=6 olup doğru cevap A dır.

20.

Matrisi

şeklinde verilen oyunda II. oyuncu 1. sütunu seçtiğinde garantilenmiş kaybı aşağıdakilerden hangisidir?

Doğru Cevap: "B" 9
Soru Açıklaması

1. sütundaki 9, -5, 4 elemanlarından en büyüğü 9 olduğundan garantilenmiş kayıp 9 olur. Doğru cevap B seçeneğidir.

TEST BİTTİ.
CEVAPLARINIZI KONTROL EDİNİZ.
YORUMLAR

Recent Comments

Görüntülenecek bir yorum yok.

Archives

Categories